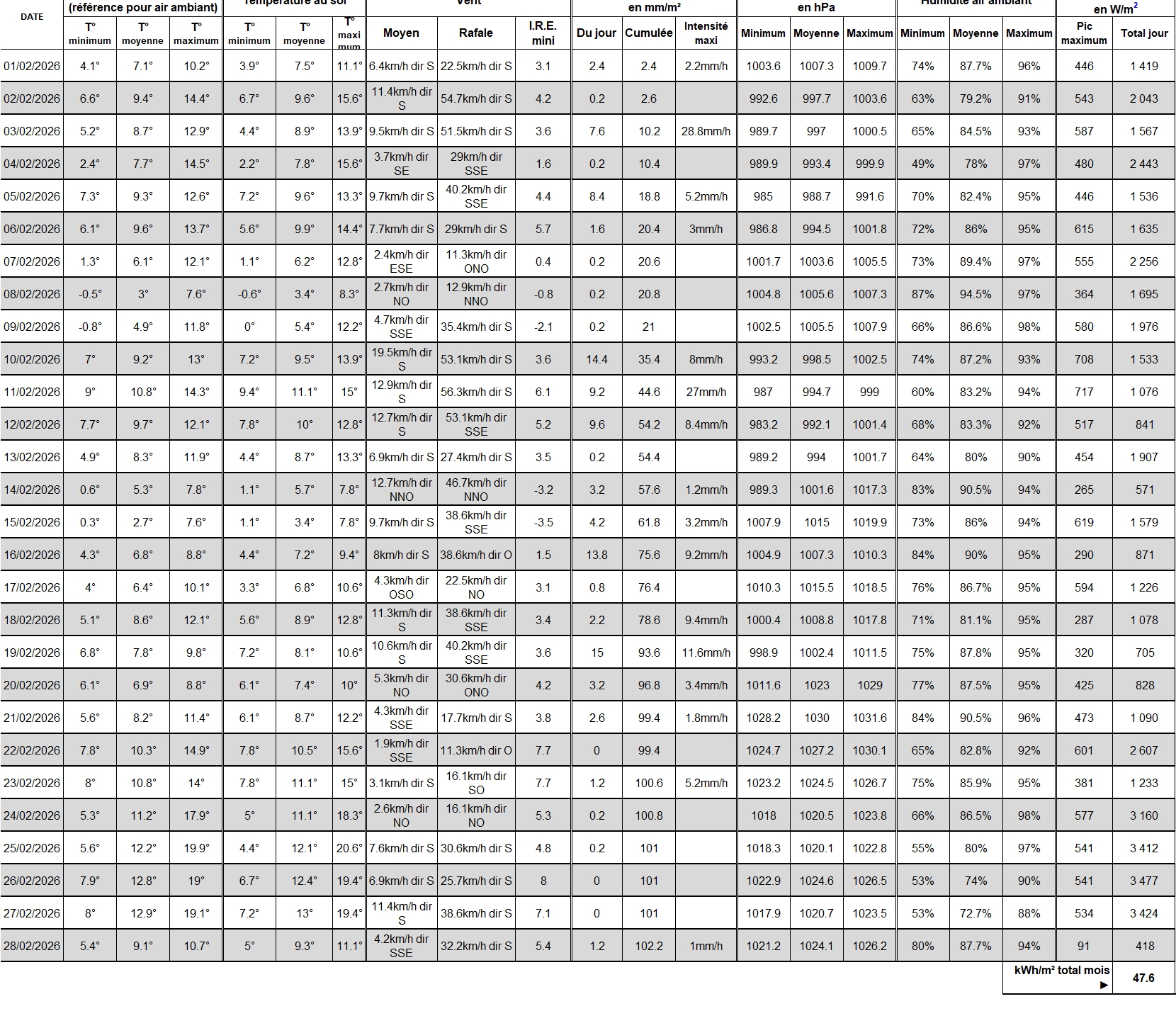
NOAA COMPLET DU MOIS
Sur Smartphone et certaines tablettes préférer un affichage en mode paysage pour plus de confort.
Avec le doigt faire défiler le corps du tableau.
TABLEAU DES DONNEES COMPLETES NOAA de FEVRIER 2026

Date de création : 01/03/2026 10:03
Catégorie : ANNEE 2026 - MOIS PASSES - FEVRIER 2026
Page lue 522 fois
